על גיל הכניסה לקרן הפנסיה וגובה הכיסוי הביטוחי

גיל הכניסה בקרן הפנסיה נקבע במועד ההצטרפות ומשפיע על גובה הכיסוי הביטוחי למקרה מוות ואבדן כושר עבודה. מדוע חשוב לשמור על גיל ההצטרפות במקרה של הפסקת הפקדות.
קרן הפנסיה כוללת שני כיסויים ביטוחים, לאבדן כושר עבודה ומקרה מוות. גובה הכיסוי הביטוחי נקבע בהתאם למסלול הביטוח שבחר החוסך וגיל הההצטרפות לראשונה אל קרן הפנסיה.
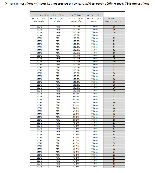
גובה הכיסוי המירבי הוא 75% למקרה אבדן כושר עבודה ו- 100% למקרה מוות. כיסוי זה ניתן היום בכל קרנות הפנסיה במסגרת מסלול ברירת המחדל. הכיסוי ניתן לנשים המצטרפות בכל גיל ולגברים המצטרפים לראשונה עד לגיל 41.
גברים שיצטרפו לראשונה לאחר גיל 41 יקבלו כיסוי מלא לאבדן כושר עבודה אך הכיסוי למקרה מוות יפחת ב- 5% בעבור כל שנה לאחר גיל 41.

באיזה מקרים ישתנה גיל הכניסה לקרן הפנסיה?
גיל הכניסה ילווה את החסך לאורך כל תקופת החיסכון ויקבע את גובה הכיסוי הביטוחי המגיע לו. גם במקרה של מעבר בין קרנות פנסיה יעבור גיל הכניסה אל קרן הפנסיה החדשה.
לדוגמה, חוסך בן 47 שהצטרף לראשונה לקרן הפנסיה של מנורה מבטחים בגיל 30 עובר אל קרן הפנסיה של הלמן אלדובי. גיל הכניסה בקרן הפנסיה של הלמן אלדובי יהיה 30.
גיל הכניסה יתאפס בשני מקרים:
- הפסקת הפקדות לקרן הפנסיה לתקופה שעולה על 12 חודשים
- משיכת כספים מרכיב התגמולים
חשוב לדעת כי במקרה של משיכה (או אפילו משיכה חלקית) או העברת חלק מהכספים אל מוצר פנסיוני אחר יתאפס גיל הכניסה ויקבע בהתאם למועד החדש של ההפקדות לקרן הפנסיה.
המשמעות של איפוס גיל הכניסה היא שהכיסוי הביטוחי של המבוטח יהיה נמוך יותר.
לדוגמה, חוסך בן 45 בחר להעביר כספים מקרן הפנסיה אל קופת הגמל, גיל הכניסה שלו בקרן הפנסיה יתאפס ויעמוד על גיל 45. גובה הכיסוי לשאירים יפחת מ- 100% ל – 75%.
גיל הכניסה לפני התקנון האחיד
לאחר שנת 2018 מסלול ברירת המחדל בכל קרנות הפנסיה הוא זהה ומעניק כיסוי מירבי למקרה של אבדן כושר עבודה ומוות. לפני כן קרנות הפנסיה העניקו כיסויים בגובה שונה בהתאם למסלול ברירת המחדל שנקבע בהן.
לדוגמא בקרנות הפנסיה של הראל וכלל (מיטבית עתודות) גובה הכיסוי למקרה של מוות, היה יורד בגיל צעיר ואילו בקרנות הפנסיה של מנורה מבטחים, הפניקס, מגדל והלמן אלדובי ניתן כיסוי מלא למקרה של מוות לגברים שהצטרפו עד לגיל 47.
בעקבות כניסת התקנון התקני לתוקף חוסכים שמבוטחים בהראל או במיטבית שיעברו לקרן פנסיה אחרת הכיסוי הביטוחי שלהם למקרה מוות יגדל. (ניתן גם לשנות את המסלול באותה הקרן למסלול ברירת המחדל החדש)
לעומת זאת חוסך בן 50 שהצטרף לראשונה לקרן הפנסיה של מגדל בגיל 45 שיעבור לקרן פנסיה אחרת יגלה שהכיסוי הביטוחי שלו יורד.
במגדל גובה הכיסוי הביטוחי עמד על 100% ובמעבר למסלול ברירת מחדל בכל קרן פנסיה אחרת גובה הכיסוי יפחת ל- 75%.
האם גיל ההצטרפות משפיע על עלות הכיסוי הביטוחי?
גיל ההצטרפות משפיע על אחוז הכיסוי הביטוחי. ואחוז הכיסוי הביטוחי הוא זה שקובע את עלות הכיסוי הביטוחי. כלומר שני מבוטחים בני 30 בעלי אותו אחוז כיסוי ישלמו את אותה עלות כיסוי ביטוחי ולא משנה מתי הצטרפו לראשונה לקרן.
>>>קריאה נוספת: כיצד מחושבת עלות הכיסוי הביטוחי בקרן הפנסיה
האם גיל ההצטרפות משפיע על הפנסיה שאקבל?
לא, מנגנון חישוב הפנסיה בקרנות הפנסיה החדשות מבוסס על צבירה. לא משנה מתי הצטרפת לקרן הפנסיה או מה היה שכרך האחרון. הפנסיה תחושב על סמך חלוקת הצבירה שלך בקרן חלקי מקדם הפרישה.
חשוב לזכור כי ככל ואחוז הכיסוי הביטוחי שלך גבוה יותר, כך גם הריסק החודשי אותו תשלם יהיה גבוה יותר. לאורך שנים עלות הריסק תקטין את החיסכון הצבור שלך. ניתן לבצע לאורך השנים התאמה של מסלול הביטוח לצרכים שלך.
האם חשוב לשמור על גיל הכניסה לקרן?
חשוב יותר לשמור על הרצף הביטוחי, תקופת אכשרה, בקרן הפנסיה באמצעות הסדר ריסק או הפקדות באופן עצמאי. אך במידה ולא שמרת על גיל ההצטרפות לקרן חשוב לבחון שנית לאחר ההצטרפות את אחוז הכיסוי הביטוחי החדש ובמידת הצורך להתאים את מסלול הביטוח לצרכים שלך.
תמונה ברישיון חופשי מכאן
רוצים להגיע עם יותר כסף לפנסיה?
רוצים להפסיק לפחד מהחיסכון הפנסיוני?
אנחנו מזמינים אותך להגיע לפגישת תכנון פנסיוני אישית
למידע נוסף על שירות תכנון פנסיוני אישי https://pensuni.com/?page_id=7283




שאלה, גיל ההצטרפות עולה אם אני עובר מקרן פנסיה אחת לשניה או שהגיל שבו הצטרפתי לקרן הראשונה קובע כל עוד אני חוסך פעיל?
גיל הכניסה לא משתנה בעקבות המעבר. תקופת האכשרה יכולה להיפגע במידה ולא תבצע את המעבר כל עוד אתה עמית פעיל בקופה ממנה אתה עובר.
האם קיים גיל כניסה מקסימאלי לביטוח בקרן פנסיה?בן64 יכול להכנס לביטוח בקרן פנסיה?
ניתן להצטרף לקרן הפנסיה בכל גיל. ניתן לקבל כיסוי ביטוחי עד לגיל 67
"שני מבוטחים בני 30 בעלי אותו אחוז כיסוי ישלמו את אותה עלות כיסוי ביטוחי ולא משנה מתי הצטרפו לראשונה לקרן."
המשפט הזה לא ברור לי. מבוטח בן 30 שהצטרף בגיל 20 יזכה ל-100% כיסוי שארים (לפי הטבלה במאמר). מבוטח אחר בן 30 שהצטרף בגיל 30 יזכה ל-72.86% כיסוי שארים אך ישלם על כך פחות מהמבוטח שהצטרף בגיל 20? ואם ירצה יוכל לשלם כמו המבוטח שהצטרף בגיל 20 ולקבל גם כן 100% כיסוי?
ערב טוב שי,
אתה מתעלם מהחלק הראשון של המשפט שכתבת "שני מבוטחים בני 30 בעלי אותו אחוז כיסוי ישלמו את אותה עלות כיסוי ביטוחי".
כלומר בהנחה שמבוטח שהצטרף בגיל 30 בחר (באמצעות בחירה של מסלול ביטוח) להגדיל את הכיסוי הביטוחי שלו הוא ישלם על כך בדיוק כמו מבוטח שהצטרף בגיל 20.
הפוסט הזה נרשם במאי 2013, כיום אוקטובר 2015 בחלק מקרנות הפנסיה גם מבוטחים שהצטרפו לאחר גיל 40 יקבלו כיסוי ביטוחי של 100%. במבטחים החדשה, גם מבוטחים שהצטרפו בעבר בגיל מאוחר גדל עבורם הכיסוי הביטוחי בקרן הפנסיה.
היי נדב
במקרה ועמית הצטרף לקרן פנסיה בגיל 30 והאחוזים היו בו לנכות הם 75% ושארים 100% במסלול עתיר שארים.
במקרה של שינוי תקנון קרן פנסיה (שנעשה כמובן ע"י הקרן עצמה) , שבו משתנים גם הגילאים ואחוזי הנכות והשארים.
ודוגמה אם שינו באותה שנה שעתיר שארים בגיל 30 יהווה 60% נכות 100% שארים.
האם זה ישנה את זה לכל העמיתים שהצטרפו בגיל 30 או שבעצמם זה חוזה מחייב לאותו שנה עם אותו תקנון באותו השנה?
תודה
באופן תאורתי,
בדרך כלל שינויים במסלולי ביטוח (ברמת בררת מחדל) חלים על מצטרפים חדשים. כאשר מבצעים שינוי על כלל העמיתים בקרן מעדכנים אותם בלא מעט מכתבים על מהות השינוי וכיצד הוא עשוי להשפיע עליהם. הדוגמא היחידה שיש לי היא הגדלת הכיסוי הביטוחי לשארים במבטחים החדשה, שם המצב היה הפוך ממה שאתה מתאר כאן והכיסוי הוגדל לכל העמיתים בקרן הפנסיה.
היי נדב.
בנוגע לגיל הצטרפות לקרן פנסיה.
נניח יש לי ילד בן 3 (כן!, שלוש שנים). האם אני יכול לעשות לו קרן פנסיה עצמאית או שאפשר לעשות את זה רק כאשר יתחיל לעבוד מגיל יותר מבוגר.
במידה ואפשר לעשות לו, האם הכיסוי הביטוחי יותאם לגילו הצעיר או שייחשב לפי גיל 18?
תודה
וליד
אפשר לבטח אותו כבר בגיל 3, הכיסוי הביטוחי יחושב בהתאם לגיל 18.
אבל מה המשמעות של ביטוח כבר בגיל הזה? אולי כדאי לחסוך לו בקופת גמל להשקעה, גם באפשרות הזאת יהיה ניתן ליצר קצבה מהכספים.
יש יתרון נוסף (בנוסף לחיסכון עתיר סיכון,תשואה ולאפקט ריבית דריבית) להתחלה חיסכון בקרן פנסיה מגיל צעיר כי אז המבוטח לא מוחרג ביטוחית בגין בעיה רפואית כלשהיא וזה לצערנו עלול לקרות.
אפשר לצרף אותו לקרן בררת מחדל ואז הוא לא נדרש בחיתום (ולא משנה מה גילו)
אני בן 71 וכדי להימנע מתשלום מס על הפיצויים שוקל להעביר את כל הסכום שנצבר לקרן פנסיה.
האם אוכל להצטרף (ללא כיסוי ביטוחי)?
מהו המקדם המקובל?
מה העלויות?
האם בהעברה מקופת פיצויים לקרן הפנסיה לא יהיה אירוע מס?
בגיל 71 אין כיסוי ביטוחי בקרן.
במידה והמטרה שלך היא לקבל קצבה, יש לחשב קצבה בהתאם לנתונים אישים שלך ושל בת הזוג.
אני מניח שאתה מתכוון להעברת פיצויים ברצף קצבה, בניוד פיצויים ברצף קצבה אין אירוע מס.
אני מציע לך להתייעץ עם איש מקצוע בנושא זה
היי נדב,
בניוד מביטוח מנהלים לקרן פנסיה, האם גיל הכניסה לביטוח מנהלים ייחשב כגיל הכניסה לקרן פנסיה?
הי מתן, בניוד קופת גמל או ביטוח מנהלים תיספר תקופת הפקדה רעיונית לצורך קביעת גיל הכניסה. מחר בשעה 8:00 יעלה פוסט על זה